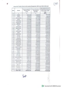
नियोजित शिक्षकों के वेतन हेतु राशि हुई जारी , इस तारीख तक नियोजित शिक्षकों को वेतन
नियोजित शिक्षक :–274681 नियोजित शिक्षकों के वेतन को 7.3 अरब रुपए की राशि बिहार सरकार ने की जारी
राज्य के नियोजित शिक्षकों एवं उत्क्रमित मध्य विद्यालय में जिला संभल के स्नातक प्रशिक्षित वेतनमान की शिक्षकों एवं प्रधानाध्यापकों के सितंबर माह की वेतन के लिए 7.3 अरब रुपए की राशि जारी हुई है
या राशि शिक्षा विभाग में पंचायती राज एवं नगर निकाय संस्थाओं के शिक्षकों और उत्क्रमित मध्य विद्यालय में जिला संभल के स्नातक पर शिक्षित वेतनमान की शिक्षकों एवं प्रधानाध्यापक हो के सितंबर माह के वेतन के लिए जारी की गई है 7.3 अब रुपए की राशि से 274681 शिक्षकों को सितंबर माह का वेतन मिलेगा
समग्र शिक्षा के इन शिक्षकों को सितंबर माह का वेतन नहीं मिला है आधिकारिक जानकारी के मुताबिक समग्र शिक्षा अभियान के तहत कुल 91 अब से अधिक की राशि मंजिल की जा चुकी है इसमें कुल 51 अब से अधिक की राशि की मुक्ति को स्वीकृति दी जा चुकी है इस राशि का किसी दूसरे मध्य में खर्च न किया जा सके
